华亿在线
继续教育学院
网站首页
招生简章
新闻动态
通知公告
自学考试
网上报名、报考
成绩查询
自考业务
网上评教
自学问答
继续教育学院
首页
>>
新闻动态
新闻动态
Channel Title
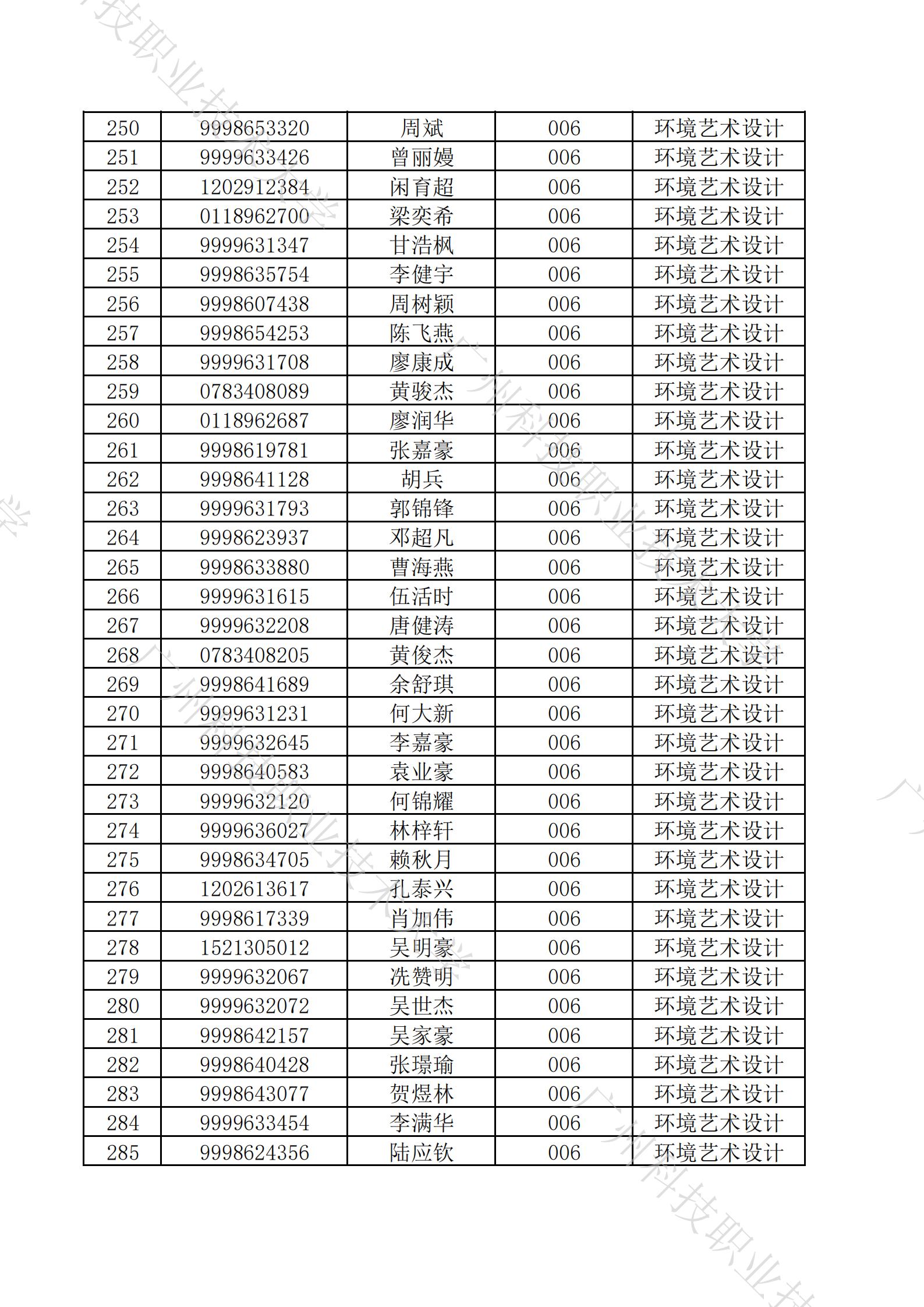
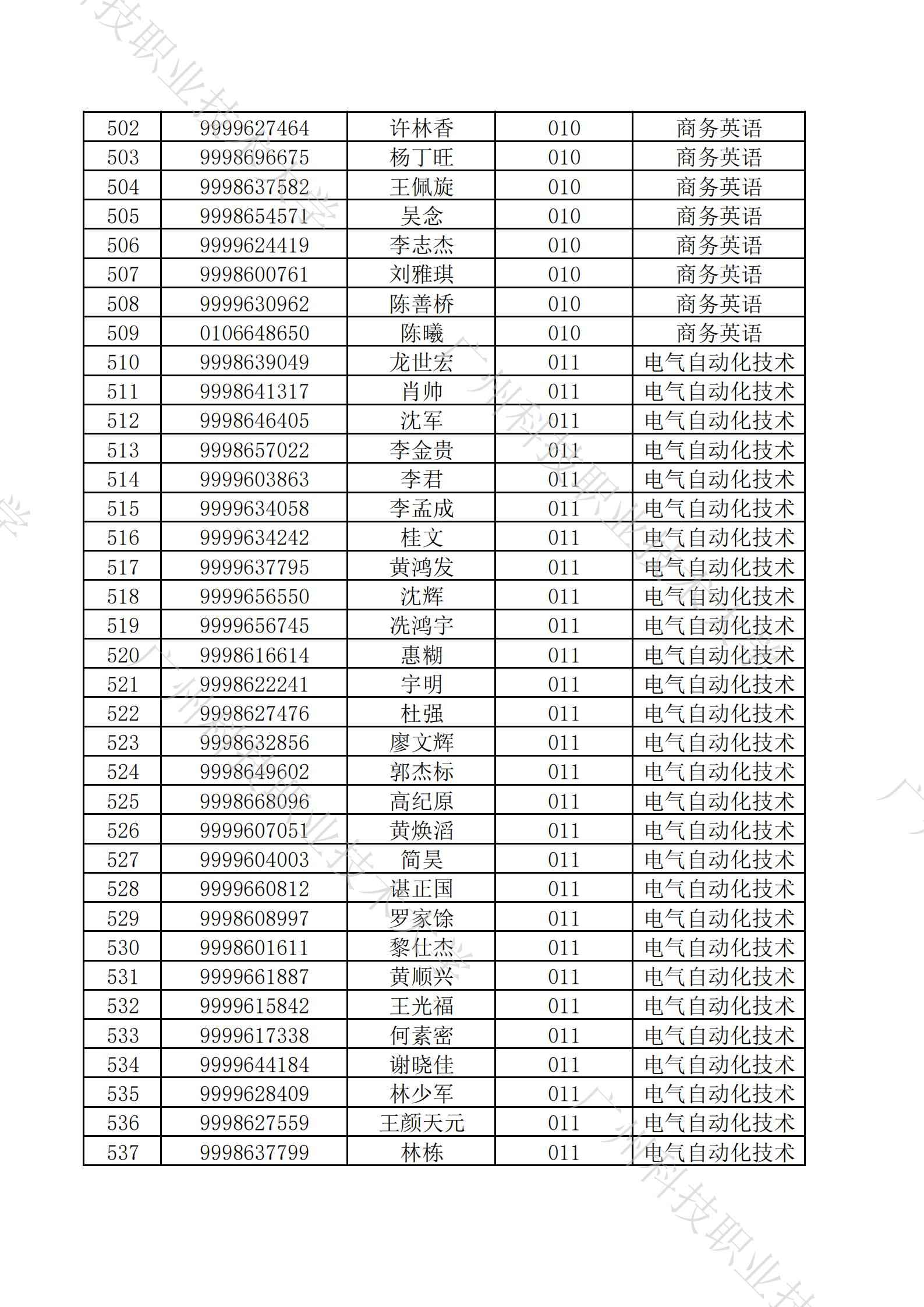
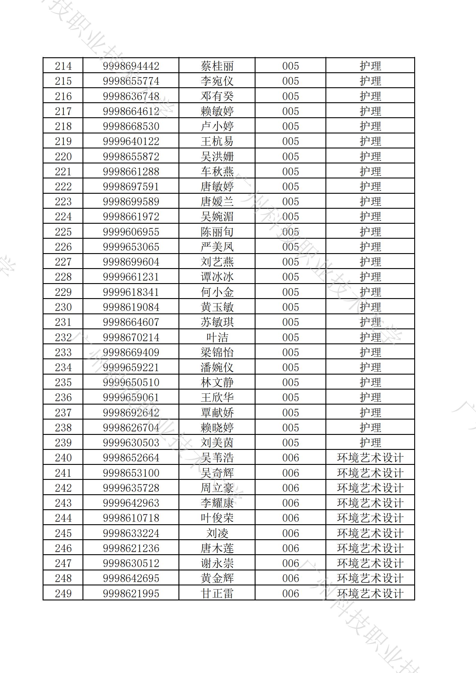
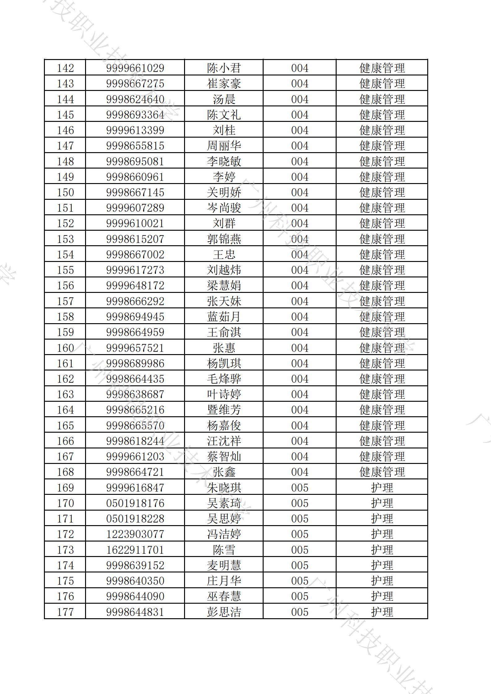
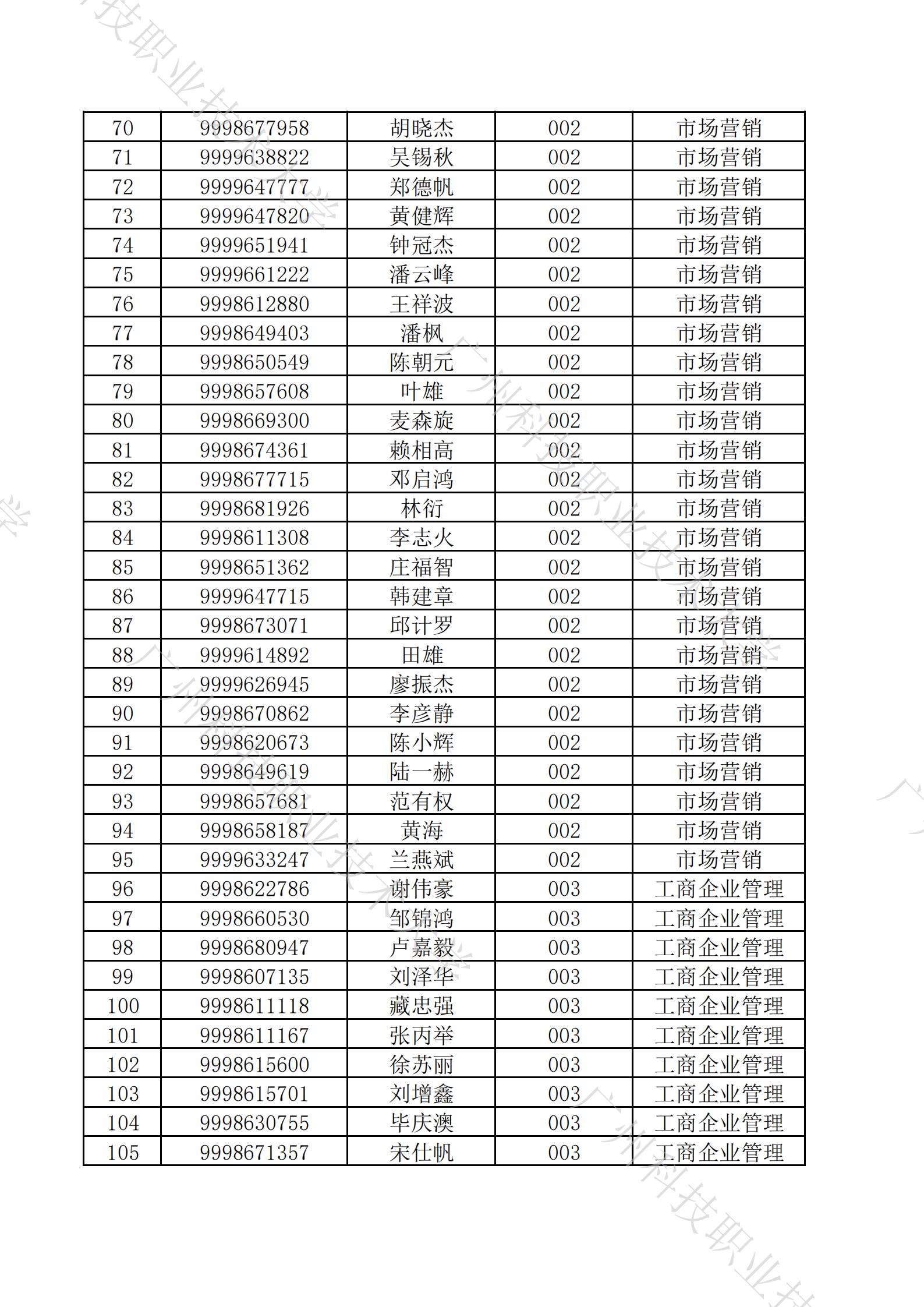
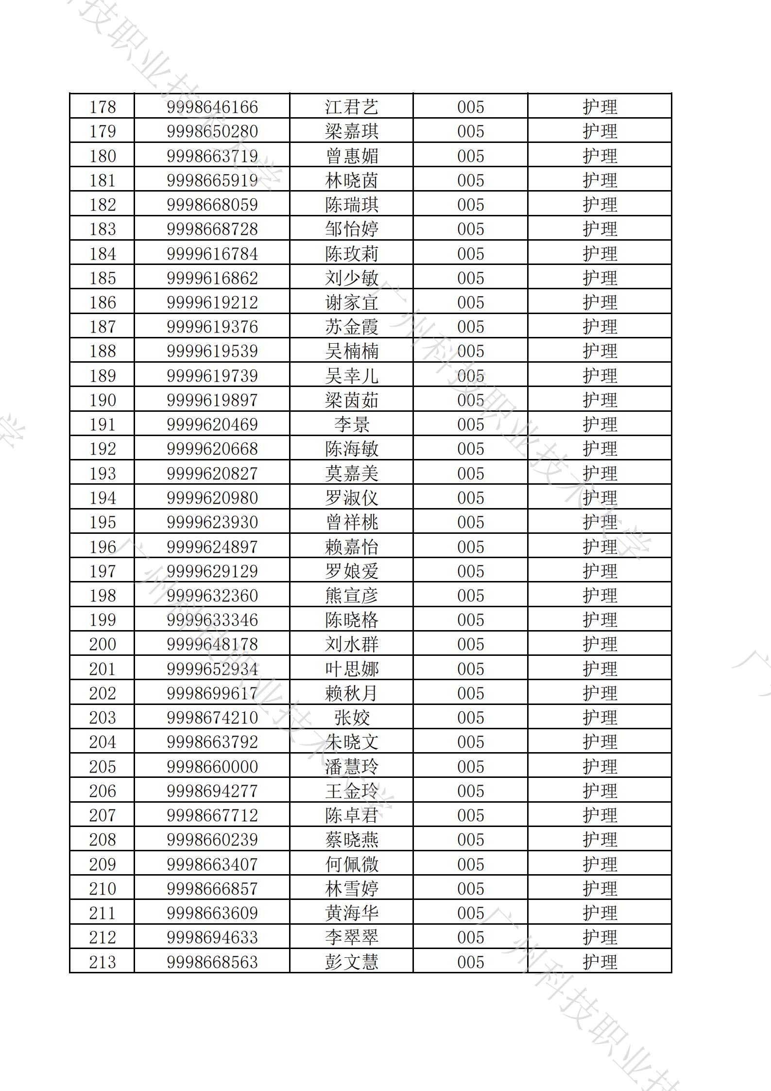
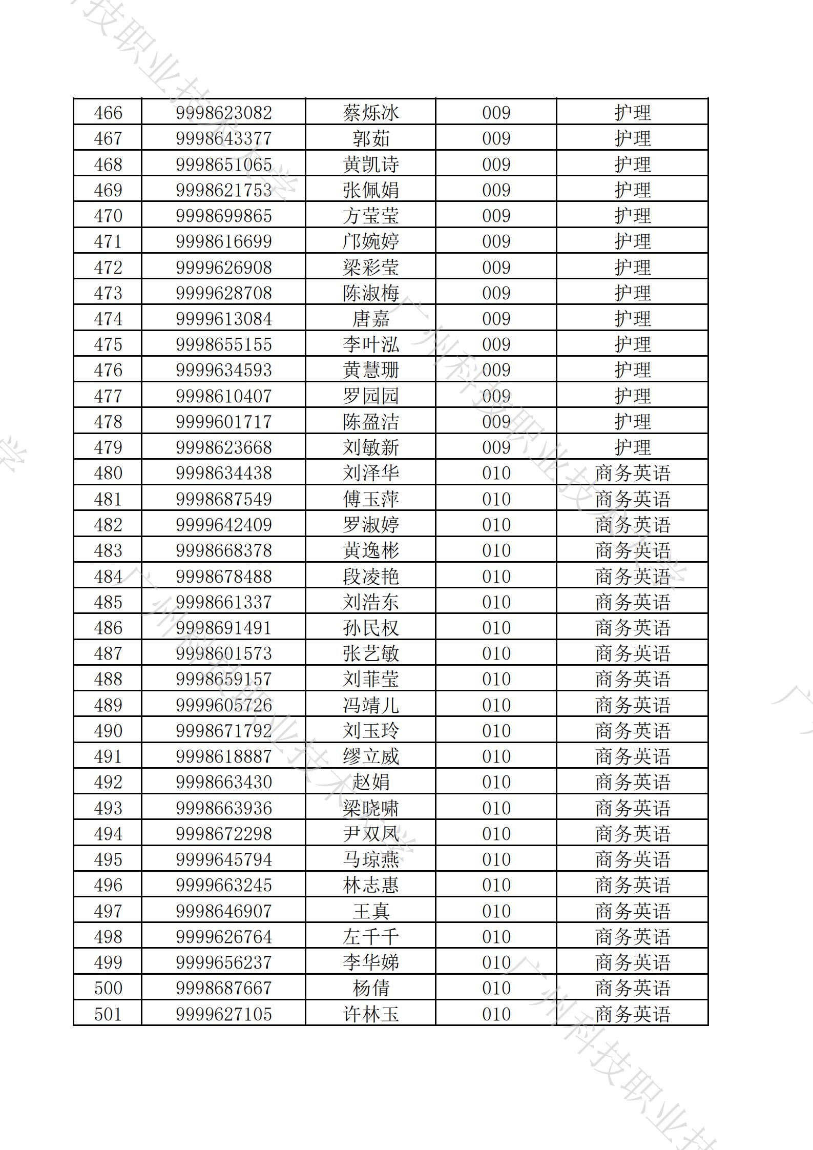
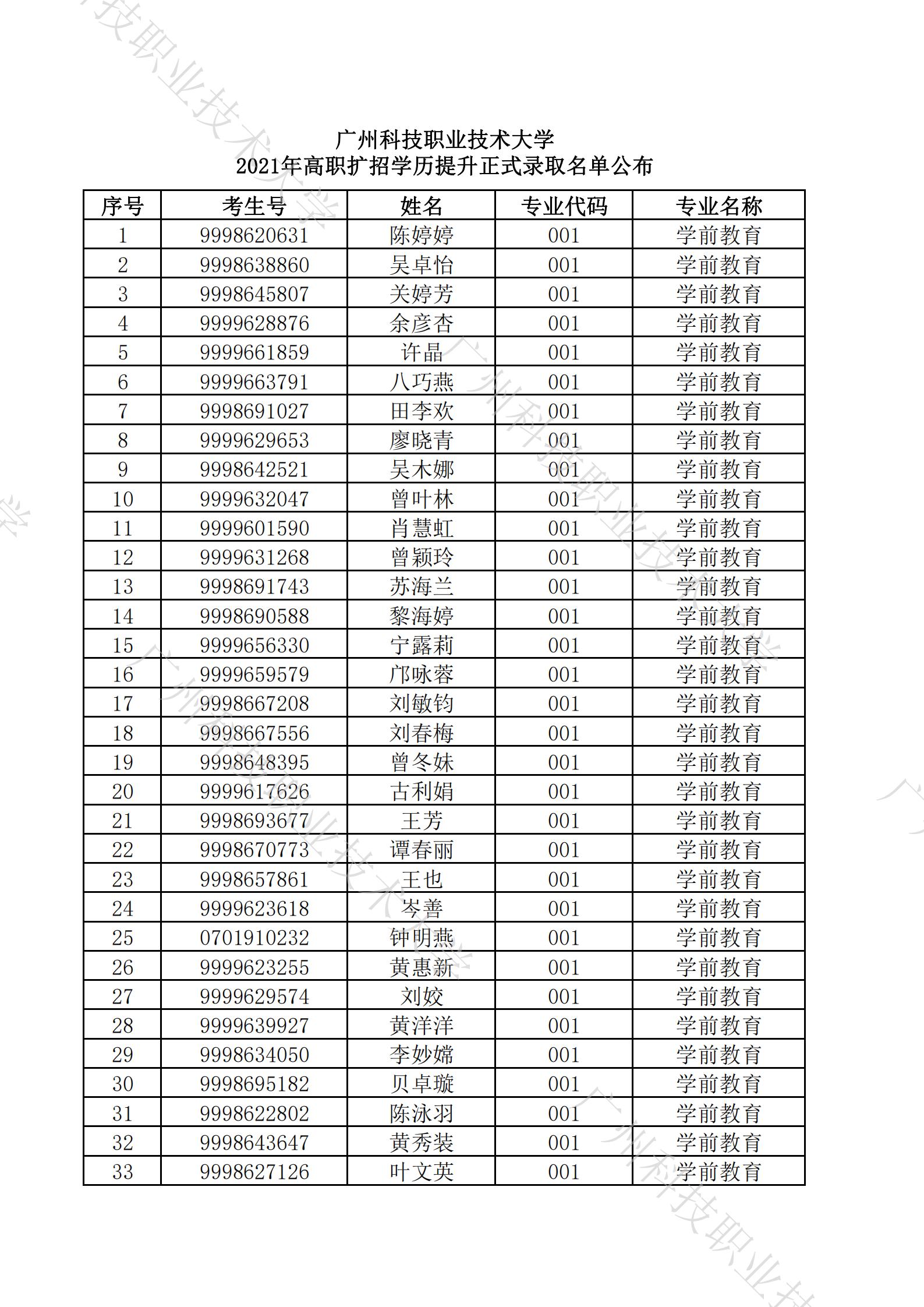
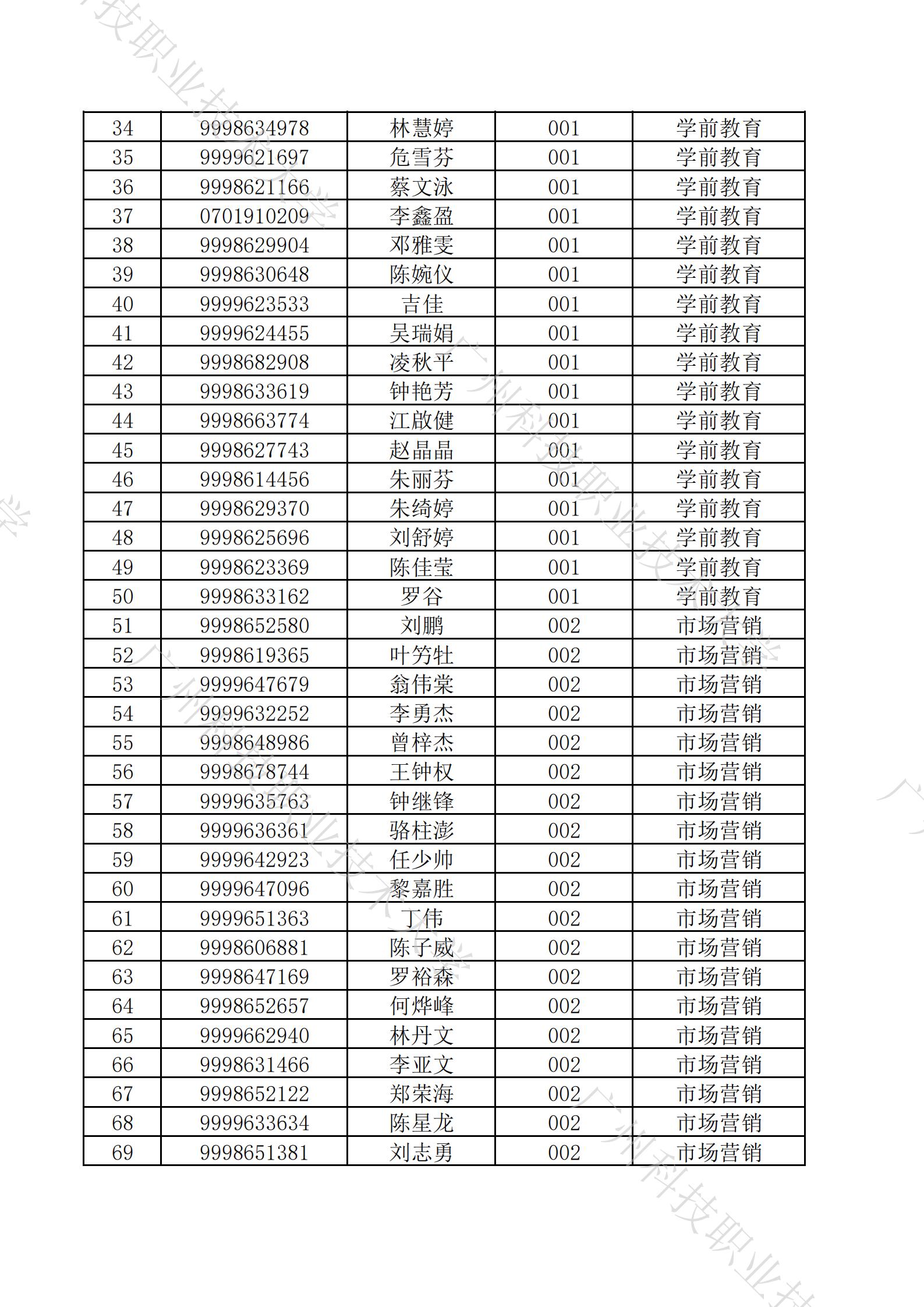
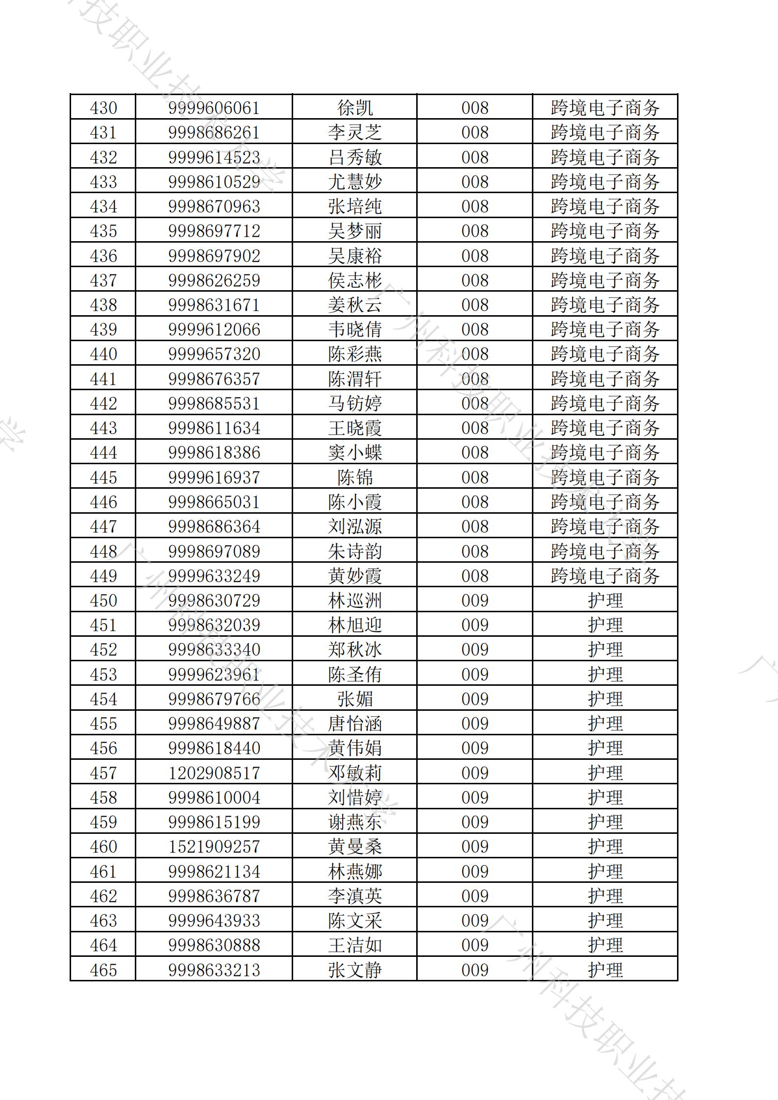
华亿在线2021高职扩招学历提升正式录取名单
来源: 作者: 发布时间:2021年10月26日
上一篇:
外语外贸学院成功举办1+ X 跨境电商B2C数据运营职业技能等级证考试
下一篇:
华亿在线2021年高职扩招考核成绩公示查询
关注微信号
©版权所有:华亿在线
广州校区:广州市广从九路1038号
滨海校区:茂名市高地智慧城慧城三街8号
粤ICP备20000181号-1 网站技术支持:品牌运营中心
千亿在线登录
|
完美平台
|
乐动平台
|
乐动在线_乐动在线(中国)
|
云博(中国)yunbo·官方网页版
|
亿百体育平台
|
乐动平台
|
天博网页版_天博(中国)
|
云博在线登录
|